miércoles, 30 de noviembre de 2022

Ejemplo de Método de Integración de Feynman

    

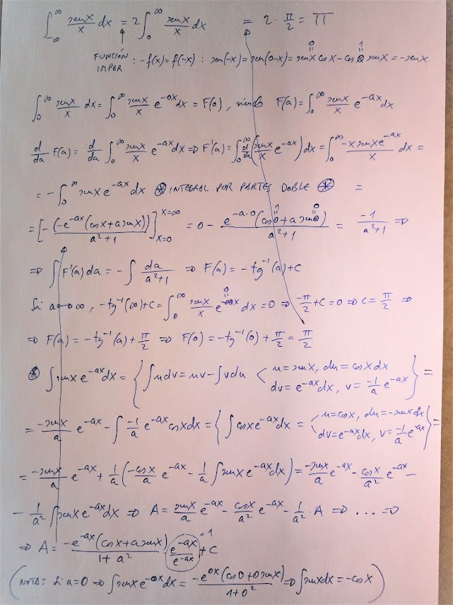
   Richard Feynman fue uno de los más grandes físicos de nuestro tiempo, colaborador en el proyecto Manhattan y premio Nobel de Física, además de un personaje simgular, un genio en todos los sentidos. Una de sus múltiples virtudes fue el inconformismo con lo establecido, así que decidió que crearía un método propio para el cálculo de integrales. Una vez cayó en mis manos uno de sus libros sobre física teórica y me resultó de una complejidad pasmosa. La información sobre Feynman que existe en internet es amplia por lo que exhorto al lector a que indague en pos de satisfacer sus inquietudes. Aquí expongo un ejemplo del curioso método de resolución de integrales. La idea básica es añadir a la función a integrar, otra función que depende de otro parámetro para así simplificar la función inicial y poder conseguir una integral inmediata o que lleve rápidamente a una inmediata, todo ello sin utilizar la forma habitual que es, o bien un cambio de variable, o bien una transformación elemental (sin introducir nuevos parámetros), o bien usando integración por partes, o bien una combinación de alguna de estas técnicas elementales. Con una enseñanza adecuada, esta forma de integrar funciones se podría aprender en secundaria pero, tal y como está actualmente el nivel educativo, dicha forma de cálculo escapa hasta nivel universitario. Una lástima.

   Que un físico diga que la integral de una función es su antiderivada es sostenible pero un matemático debe poner mucho entrecomillado en dicha afirmación como yo hago aunque no traigo aquí esta cuestión. Sin perderme en más detalles, comentaré que, lamentablemente, la plataforma de blogger en la que escribo no posee herramientas específicas para escribir en lenguaje matemático por lo que siempre tengo que recurrir a otras aplicaciones, no sin dificultades, para poder explicar así la mayoria de entradas de este blog. Esta es una de las razones por las que no hago entradas de caracter más técnico. Por ello, esta vez he decidido escribir el ejemplo comentado anteriormente de mi puño y letra y añadirlo a continuación como una imagen insertada. No es lo habitual en este blog y no lo será, espero que sirva.


 

domingo, 20 de noviembre de 2022

Pinceladas Sobre el Principio de Sustentación y el Teorema de Bernoulli

    Desde que el hombre tiene conciencia de que es hombre y ha elevado la vista observando a las aves volar, ha anhelado emularlas y poder así surcar los cielos y expandir sus capacidades más rápido aún de lo que lo ha conseguido a lo largo de la historia de la humanidad. Hoy en día el hombre vuela pero no de ese modo tan deseado, sino de forma artificial y gracias a haber adquirido unos conocimientos, a base de errar, qué duda cabe, desde aquel viaje de los hermanos Wright hasta conquistar el espacio y nuestro satélite natural. Cuando la fabricación de ingenios que permiten al hombre elevarse, dominar el vuelo y aterrizar, todo ello de forma segura, se consigue a comienzos del siglo XX da comienzo la era aeronáutica y, por ende, una nueva forma de vivir en el planeta y fuera de él.

   La base de la aeronáutica se cimenta en varios principios físicos y, en particular, en el entendimiento de la dinámica de fluidos (no olvidemos que el aire es un fluido) y sus propiedades. No me referiré en esta entrada a la forma de comportarse en vuelo de cualquier objeto artificial porque aquí entrarían tanto aviones como helicópteros, misiles o cohetes, cada clase de estas con sus características y sus formas de vuelo. Alguna entrada he dedicado en este blog a los cohetes, basta localizarla en el buscador en la columna de la derecha. Así, el vuelo de una aeronave (avión o cometa) se fundamenta en el Principio de Sustentación y en el Teorema de Bernoulli. Vamos a entrar de lleno en explicar brevemente estos conceptos sin entrar en detalles engorrosos que, como ya he explicado varias veces en diferentes entradas, no es el objetivo de este blog, sino la simplicidad y claridad de los conceptos dejando al lector curioso a que explore si desea adquirir más cuestiones técnicas.

La sustentación en los aviones (lift en inglés) se calcula con la siguiente fórmula: lift = ½ ρ · v2 · S · CL , siendo CL el coeficiente de sustentación que depende del tipo de perfil y del ángulo de ataque, S es la superficie alar, ρ es la densidad del aire.

Para que un avión pueda volar, la sustentación debe ser igual o superior a su peso. A iguales valores de velocidad, tamaño, forma y posición del ala, el único valor que es independiente del avión en sí, es la densidad de la atmósfera. Y es que, a mayor densidad, mayor sustentación. Por otra parte, el Principio de Bernoulli promulga que cualquier líquido o gas que aumente su velocidad de movimiento, también verá disminuida su presión.

    En realidad, el principio de Bernoulli es una descripción de la ley de conservación de la energía, cuya definición nos dice que, en un fluido ideal, la energía permanece constante a lo largo de todo el recorrido del conducto cerrado. La ecuación de Bernoulli matemáticamente es   ½ (V2 ρ) + P + ρgz = constante  siendo V = velocidad, ρ = densidad del fluido (líquido o gas), P = presión, g = aceleración de la gravedad,       z = altura en la dirección de la gravedad. Es decir, se tiene la expresión E cinética + E. presión + E. potencial = cte

No voy a entrar en la deducción de la fórmula anterior porque entraña un poco de complejidad y requiere conocimientos no triviales de física y matemáticas pero la expresión anterior proviene del caso particular de la Ecuación Fundamental de la Hidráulica en el que la única fuerza exterior es la de la gravedad, es decir, la del peso del fluido.

El motivo principal que hace que los aviones puedan volar son las fuerzas que actúan sobre ellos cuando están en el aire. Y son cuatro: dos en horizontal (la fuerza de empuje y su opuesta, la aplicada), y dos en vertical (el peso del avión que tira hacia abajo de la aeronave y, en contra de éste, la fuerza de sustentación que es la que consigue levantarla).

   Por todo ello, es principal prestar especial atención a la forma de las alas de los aviones o las cometas, en menor medida. Y es que la parte superior (llamada extradós) está más curvada que la inferior (llamada intradós), que es más recta. Esto hace que el aire que circula por encima del ala tenga más superficie, lo que consigue que viaje a más velocidad que el aire de la parte inferior. Y la principal consecuencia de este cambio de velocidad en el aire que circula sobre el ala de un avión y bajo ella está en que se crea una diferencia de presión.

Con la definición del principio de Bernoulli, donde la suma de las presiones debe ser constante, lo que ocurre con el aire en este caso, es que la menor presión de la parte superior del ala ejerce una fuerza bajo ella que la impulsa hacia arriba. Las aves voladoras utilizan este principio de forma natural, obviamente, y es la razón por la que los aviones quieren adoptar desde siempre la forma característica de los animales voladores.

    Y, ¿qué aplicaciones puede tener el principio de Bernoulli, aparte de al vuelo de aeronaves? En general, en mecánica de fluidos, se puede aplicar a cualquiera de ellos, ya sea líquido, viscoso o gas. Aquí dejo al lector varios ejemplos por si su curiosidad se ha de satisfacer urgentemente: tubo piezométrico, tubo de efecto Venturi, tubo Pitot, tubo de Prandtl (pitot + piezométrico), tubo de Pitot-Darcy, estos dos últimos usados en meteorología.

    Hasta aquí estos sucintos apuntes sobre el vuelo y el comportamiento de los fluidos del planeta que habitamos. Espero haber despertado interés y animo a investigar sobre un tema fascinante muy relacionado con una de mis pasiones recientes: la meteorología.

 

miércoles, 9 de noviembre de 2022

Un Contraejemplo Casi Sencillo de un Hecho Casi Evidente

 


 

   Es sabido que una función continua no necesariamente ha de ser derivable y como ejemplo se puede citar la función valor absoluto: para que una función sea derivable (en todo punto, se entiende, ya que en el caso de la función valor absoluto, estrictamente, es derivable en todo su dominio de definición salvo en el punto x = 0, aunque existen funciones que son continuas en todo punto de su dominio y no derivables en ningún punto pero para tomar como ejemplo son más complicadas de presentar) han de existir las derivadas por la izquierda y por la derecha, que en sí son límites laterales, y han de coincidir. La afirmación “toda función continua es derivable” estuvo en la mente de los matemáticos sin poder demostrarla hasta que Weierstrass echó por tierra esta idea `creando´ un contraejemplo con una función muy extraña para su época dado que es una función fractal, concepto no estudiado hasta más de un siglo después.

    También es sabido que toda función derivable es continua, por el simple hecho de la forma en la que se define la derivada de una función.

    La pregunta natural que surge de la anterior afirmación es, ¿la derivada de una función continua es también continua? Cabría pensar, por intuición, que la respuesta es afirmativa pero no es así, no siempre sucede ésto y tal es el motivo de escribir esta entrada. Mostraré una función que no cumple lo pedido y, aunque existen más funciones en tal situación, la prueba para esos otros ejemplos se complica por sus características de definición.

    Las funciones seno y coseno, esto es, Sin(x), Cos(x), x, son derivables en todo su dominio de definición y sus derivadas son continuas. No voy a entrar en este echo por su complejidad: para probarlo se necesita la Regla de la Cadena y el Teorema de la Función Inversa. Pero la idea es afirmar que son sencillos ejemplos de funciones, trigonométricas, derivables cuya derivada es continua. ¿Por qué cito estas funciones? Porque el ejemplo de función que contradice que la derivada de una función continua también es continua se basa en una función trigonométrica, como sigue a continuación:

La función f : > definida por f(x) = x2Sin(1 / x) , x* , f(0) = 0 (siendo * = – {0} ), es derivable en con derivada f ’ (x) = 2xSin(1 / x) – Cos(1 / x), x* , f ‘ (0) = 0.

Sea la sucesión {xn} = {1 / n π}. Así, f ‘ (xn) = (-1)n+1 , n , por ser las funciones seno y coseno periódicas, y {xn} converge a 0. Se deduce rápidamente que f ‘ no tiene límite en cero por ser oscilante: f ‘ (x1) = 1,               f ‘ (x2) = -1, f ‘ (x3) = 1,… y así f ‘ (xn) f ‘ (xn+1), nlim f ‘ (xn) cuando x → 0.

Si se toma la función g(x) = x, x, las restricciones de f y g a * cumplen las hipótesis de la Primera Regla de L`Hôpital con I = y a = 0 (dichas condiciones son: I intervalo, aI, f, g funciones de I – {a} que cumplen que f, g son derivables en I – {a} con g ‘ (x) 0 y lim f(x) = lim g(x) = 0 cuando x → a) por lo que se puede construir el límite del cociente de funciones con garantías. Además, lim f(x) / g(x) = 0 cuando x → 0 pero        lim f ‘ / g ‘ cuando x → 0 por lo que la derivada de la función continua no es continua al no coincidir los límites laterales.

jueves, 3 de noviembre de 2022

Conjuntos Finitos y Lo Otro

 

    En Matemáticas existen pocas definiciones negativas por cuanto una definición en este sentido entraña una negación de otro concepto o una negación de unas propiedades. Al escribir estas líneas sólo me vienen a la mente la definición de conexión topológica (un espacio topológico se dice conexo si NO existe dos subconjuntos suyos tales que, etc) y la que aquí traigo.

    Al hablar de conjuntos se dice que tienen el mismo número de elementos cuando existe una aplicación biyectiva de un conjunto sobre el otro, esto es, cada elemento de un conjunto “viaja”, de forma única, a un único elemento del otro conjunto. No voy a tratar aquí algunas estructuras especiales como son el núcleo del conjunto de partida (kernel) o el conjunto imagen en el conjunto de llegada, lo que da para otra interesante entrada.

La idea anterior, de manera formal, sigue aquí:

Un conjunto A se dice equipotente a otro conjunto B si existe una aplicación biyectiva de A sobre B y se escribe de la forma A~ B.

Se deduce claramente que A~A (propiedad reflexiva), si A~BB~A (propiedad simétrica) y, si A~B y B~CA~C (propiedad transitiva), para cualesquiera conjuntos A, B y C. Estas tres propiedades denominan a la relación `~´ como relación binaria de equivalencia (RBE). Un conjunto se dice numerable si está en biyección con el conjunto de los números naturales , es decir, existe una RBE.

Ahora vamos a llamar S(n) = {m : m n}. Este conjunto es el de todos los números naturales que son menores o iguales a un número natural dado. Así, es claro que S(n) tiene n elementos. Una propiedad importante de este conjunto es que si m y n son números naturales tales que S(m)~S(n) entonces m = n (esta afirmación se prueba por inducción).

    Y ahora viene lo más importante de esta entrada que da pie a un concepto que aparenta ser obvio pero que entraña una altísima complejidad:

Un conjunto A se dice finito si es vacío (A = Ø) o si existe un número natural n tal que A es equipotente a S(n). La propiedad anterior asegura que ese número natural n es único y define el número de elementos del conjunto A. Para que a nadie se le quede la duda, el número de elementos del conjunto vacío es 0 por convenio.

He aquí pues la bomba anunciada: un conjunto se dice infinito si no es finito. Un ejemplo sencillo es, por haberlo citado ya, afirmar que el conjunto de los números naturales es infinito. Es más, es el infinito más pequeño de entre los conjuntos infinitos, pero esa es otra explicación...

   La definición negativa de un concepto en el que se basa gran parte de la matemática no convence a algunos escépticos (me incluyo) por el hecho de que no es un concepto puro sino que se basa en uno que sí lo es (el de conjunto finito), lo que debe causar, en mi opinión personal, algo de rechazo. De forma similar, se podría razonar con el concepto de frío o calor: el frío como concepto no existe puesto que se define como la ausencia de calor: no existe nada en la naturaleza que produzca frío (salvo una máquina específica, humana claro, que se basa en calor…) sino que éste es la ausencia paulatina de calor.

  Recuerdo a un profesor de la universidad que en una sola frase dilapidó siglos de investigación y profundidad de ideas: “sólo existen tres tipos de conjuntos; los finitos, los infinitos y los infinitos numerables”. Cuando uno va tomando conciencia de lo que ha estudiado en la universidad acaba despreciando ese tipo de frases por ser vacías y casi dañinas para quien se las cree sin más.

   Los conjuntos infinitos son muy interesantes al igual que los números más allá del infinito, los llamados transfinitos, formando estructuras importantes y de gran interés que exhorto al lector a que tenga curiosidad a que investigue un poco.

sábado, 8 de octubre de 2022

La Distancia Más Corta Entre Dos Puntos...

 

    En alguna ocasión esporádica he escrito en este blog sobre distancias aunque no en los términos que aparecen en la entrada que aquí propongo (se puede buscar información sobre este hecho en el buscador situado en la columna derecha, más abajo, escribiendo “distancia”, “geodésicas” o “curvatura”), por lo que entraré con más detalle, en lo que sigue, sobre esta cuestión.

    Que la distancia más corta entre dos puntos es la línea recta es lo que el ciudadano de a pie tiene interiorizado y responde a su idea de proximidad. En esta entrada mostraré que no siempre es así ofreciendo datos y ejemplos concretos. Es claro que la noción de proximidad está íntimamente relacionada con la noción de distancia, ya sea proximidad entre objetos, conjuntos, elementos, personas, conceptos, pensamientos, etcétera. Matemáticamente es un sustantivo abstracto, que es la base para la creación de estructuras complejas basadas en espacios métricos, como son los espacios topológicos y sus propiedades: conexión, compacidad, espacios cocientes,…. La proximidad entre conjuntos implica la proximidad entre los elementos de esos conjuntos y cómo es esa relación, es decir, esa distancia. Voy a introducir ahora la definición y aplicaciones precisas de lo mostrado anteriormente:

Un espacio pseudométrico es un par (X, d) donde X es un conjunto y d : X x X > una función llamada distancia que cumple las propiedades siguientes para cualesquiera elementos {a, b, c} X

1) d(a, b) 0

2) d(a, a) = 0

3) d(a, b) = d(b, a) propiedad simétrica.

4) d(a, b) d(a, c) + d(c, b) desigualdad triangular, con a, b, c distintos entre sí.

El espacio es métrico cuando, además, se cumple que si d(a, b) = 0 a = b, por lo que se tendrá una distancia métrica.


-Si X = {a} es un conjunto con un único elemento, es evidente que solo existe una única distancia definida por d(a, a) = 0

-Si X = {a, b} es un conjunto formado por dos elementos, sabemos que toda distancia sobre X ha de cumplir que d(a, a) = d(b, b) = 0 y que d(a, b) = d(b, a). Como no existen tres elementos distintos, automáticamente se cumple la desigualdad triangular. Así, existe una biyección entre las distancias y los números reales no negativos λ = d(a, b).

-Sea ahora un conjunto X que admite dos distancias definidas por d1(a, b) = 0, a, b X, y d2(a, b) = 0 si     a = b y d2(a, b) = 1 si a b.

Es fácil ver que d1 es una distancia métrica pero d2 no lo es si X tiene más de un elemento. Así, d1 se llama distancia indiscreta y d2 distancia discreta. Por tanto, (X, d1) se llama espacio pseudométrico indiscreto y    (X, d2) espacio métrico discreto.

-Teniendo en cuenta las propiedades del valor absoluto, es fácil probar que d : x > definida por    d(a, b) = |a – b| es una distancia métrica llamada distancia euclídea de la recta.

-Si se define d : 2 x 2 > como d(a, b) = [(a1 – b1)2 + (a2 – b2)2] ½ , con a = (a1 , b1) y b = (a2 , b2) , se prueba fácilmente, como en el caso anterior, que es una distancia métrica llamada distancia euclídea del plano (vulgarmente conocida como “la distancia más corta entre dos puntos”, que introduce el pensamiento de la primera frase de esta entrada).

-Un ejemplo curioso lo constituye la distancia (es fácil probar que lo es) d(a, b) = |a1 – b1 | + |a2 – b2 | , con    a = (a1 , b1) y b = (a2 , b2) , denominada distancia taxi o distancia Manhattan puesto que se basa en un mapa formado por calles perpendiculares entre sí, por lo que un taxi, para ir de un punto a otro de la ciudad, lo haría de forma escalonada por la estructura de las calles, y no de forma recta. Este es un claro contraejemplo en el plano de una distancia que no cumple la manida frase “la distancia más corta entre dos puntos es la línea recta”, ya que, con esta distancia, no se pueden “atravesar” edificios y el camino tiene forma escalonada, como he comentado.

-Otro sencillo ejemplo es el siguiente: sea X el conjunto de todas las funciones acotadas f : > , es decir, el conjunto de todas las funciones para las que existe k , de modo que | f(x) | k, x . Entonces     d(f, g) = sup { | f(x) – g(x) | ; x } define una distancia métrica sobre X (es fácil probar esto).

-También es una distancia la siguiente: sea X un conjunto y f : X > una función cualquiera. Entonces,    d(x, y) = | f(x) – f(y) | es una distancia sobre X pero no es una distancia métrica ya que d(x, y) = | f(x) – f(y) | = 0 f(x) = f(y) pero esta igualdad no quiere decir que x sea igual a y salvo que la función f cumpla ciertos requisitos. Para el caso general, d así definida es una distancia que no es una distancia métrica.

-Una propiedad interesante que cumple cualquier distancia d es:

| d(x, a) – d(y, a) | d(x, y)

| d(x, a) – d(y, b) | d(x, y) + d(a, b)

Hay que notar que aquí no se dice nada sobre cómo ni cuál es d ni sobre qué estructura se define (la recta, el plano, un espacio n -dimensional, un conjunto cualquiera, ...), simplemente se supone que los elementos son distintos entre sí.

Sin hacer una demostración rigurosa, intuitivamente se observa, para la primera desigualdad que, suponiendo los tres elementos distintos entre sí, si “inducimos” la introducción de un elemento “a ” entre x e y , la diferencia de distancias entre éstos y “a “, es decir, haciendo pasar la distancia existente entre x e y por el elemento “a “, se está consiguiendo restar dos valores muy parecidos entre sí, por lo que, tanto si están muy cerca entre sí x e y como si están muy alejados, d(x, a) es muy parecida en valor numérico a d(y, a) y así, su diferencia positiva (de ahí el uso del valor absoluto) es menor o igual a d(x, y) , y la igualdad se da en el caso de que “a “ fuera x ó y.

La segunda desigualdad es parecida a la primera pero hay que hacer notar que en la primera parte de la desigualdad aparece una resta y en la segunda parte aparece una suma e, intuitivamente, es fácil imaginar los elementos y sus disposiciones razonando como el párrafo anterior. Como antes, la igualdad se da si alguno de los elementos coincide con algún otro.

    Distintos ejemplos y distintas propiedades de las distancias, para no quedarnos sólo con “la distancia más corta entre dos puntos es la línea recta”. Por supuesto que existen muchas más distancias y las aquí explicadas se pueden generalizar a más dimensiones sin perder generalidad aunque he querido mantener las coordenadas en el menor número posible (la recta, el plano y conjuntos con pocos elementos) para no desviar la atención sobre lo que quería explicar.


jueves, 29 de septiembre de 2022

La Bolsa y Sistemas Mal Condicionados

 

    Supongamos que queremos “jugar” en Bolsa. Nuestro broker de confianza nos facilita información sobre dos productos de especial interés en estos momentos en el mercado. Las acciones de la empresa tecnológica A están a 2€ la unidad y las acciones de la empresa farmacéutica B están a 2,6€. Si decido comprar hoy puedo gastar 7€ por cada combinación de las empresas A y B, es decir, 2x + 2,6y = 7. Además, nuestro broker puede conseguir invertir un poco más en cada bloque pero a un precio algo mayor de la empresa A, por cuestiones de incentivos fiscales, de tal manera que la relación queda 2,5x + 2,6y = 10.

    No nos convence el mercado actual y decidimos esperar un par de días. Pasado ese tiempo, el valor de la acción de la empresa A ha variado, manteniéndose el de la empresa B, con lo que nos quedan las relaciones 2x + 2,6y = 7 ; 2,55x + 2,6y = 10. Esto es, ha variado el valor de la acción de la empresa A para la segunda opción de los incentivos fiscales. A simple vista parece que las empresas A y B se han mantenido estables y que hubiéramos conseguido el mismo beneficio al invertir el primer día que al invertir dos días después. Pero, ¿realmente es así?

Para obtener la respuesta ante esta situación hay que saber si el sistema de ecuaciones correspondiente al primer día está bien condicionado, es decir, si es “sensible” o no.

La solución del primer sistema es (6, 0,38), lo que, en lenguaje común significaría que podríamos haber comprado el primer día 6 acciones de la empresa A y casi una de la empresa B. La solución del segundo sistema de ecuaciones debería ser muy parecida a la del primer sistema por ser unas ecuaciones que varían muy poco, pero la solución es (5,45, -1,5), es decir, a los dos días podríamos haber comprado unas 5 acciones de la empresa A pero deberíamos VENDER acciones de la empresa B para mantener el equilibrio, lo cual no entraba en nuestros planes iniciales de diversificar nuestros fondos. Entonces, ¿qué ha sucedido?

    El sistema inicial del primer día está mal condicionado, lo cual significa que pequeñas variaciones en las ecuaciones de entrada suponen grandes variaciones en los datos de salida. En cierto modo, se podría denominar “sistema caótico”. La teoría nos dice que la condición de un sistema de ecuaciones depende de la condición de su matriz de coeficientes asociada, llamémosla X, de tal manera que el número de condición Cond(X) = ||X || · ||X-1 ||, siendo || · || la norma. La más sencilla podría ser la norma 1 ó la norma ∞, que suponen, respectivamente, sumar por filas en valor absoluto y quedarnos con el mayor valor o sumar por columnas en valor absoluto y quedarnos con el mayor valor. Si Cond(X) es mucho mayor que 1 , Cond(X) » 1, (este valor siempre es positivo por construcción) entonces el sistema está mal condicionado y sucede como en el ejemplo. Cuanto más se aleje este valor de 1, peor condición tendrá el sistema.

   En nuestro ejemplo, el número de condición de la matriz asociada al sistema de ecuaciones del primer día es, realizando los cálculos, 26,52, muy por encima del valor de referencia 1 , por lo que tenemos un sistema mal condicionado y es por eso que una pequeña variación en las ecuaciones, como sucede en la situación pasados dos días, supondría, no solo no comprar acciones a buen precio sino tener que vender acciones para poder mantener el equilibrio inicial, lo que supondría un desastre para nuestras supuestas inversiones.

¿Qué se puede hacer para solucionar este fallo? Lo mejor siempre es afinar todo lo posible en los cálculos iniciales y trabajar con la mayor precisión posible para minimizar los desajustes reales de los resultados que se preveían diferentes.

domingo, 25 de septiembre de 2022

Datación de Elementos Arqueológicos

 

    Ya he usado con anterioridad en este blog las ecuaciones diferenciales y he comentado su importancia en las entradas Una Ecuación Diferencial ImportanteDesintegración Radiactiva: Ecuación Diferencial , la cual ampliaré aquí con un ejemplo más, esta vez de la datación egiptológica de artefactos o, quizás, lo más importante de esta fascinante época de la humanidad, las personas que gobernaron y, por ende, lo que queda de ellas, sus cuerpos momificados. Recordaré, en primera instancia, el mecanismo teórico usado y su posterior aplicación sencilla al caso concreto de la época egipcia comentada.

Ley de Elster y Geitel de desintegración radiactiva (“la actividad de una sustancia radiactiva pura disminuye con el tiempo de forma exponencial”): Si llamamos N al número de núcleos que aún no se han desintegrado en un tiempo t , el número de emisiones por unidad de tiempo será proporcional al número de núcleos existentes, que matemáticamente se expresa como dN / dt = -λN , donde el signo negativo indica que el número de núcleos disminuye con el tiempo. Si integramos esta sencilla ecuación diferencial se consigue la ley de emisión radiactiva N = N0 · e-λt , donde N es el número de núcleos radiactivos que no se han desintegrado todavía,N0 es el número de núcleos radiactivos iniciales, λ es la constante proporcional radiactiva y t es el tiempo transcurrido. El número de emisiones por unidad de tiempo, dN / dt , se denomina A (actividad), que es la velocidad de desintegración

Si T es el periodo de semidesintegración, esto es, el tiempo necesario para que se desintegren la mitad de los núcleos iniciales N0 , entonces se deduce de la expresión de la ley N0 = N0 · e-λT T = Ln2 / λ


Vamos a aplicar este resultado a un ejemplo concreto:

El periodo de semidesintegración del carbono-14 es de 5730 ± 40 años. El análisis de una muestra de una momia egipcia revela que presenta las tres cuartas partes de la radiactividad de un ser vivo. ¿Cuál es la edad de la momia?


Aplicamos pues este importante resultado a la momia y al ser vivo:

momia: ¾ (actividad) = λ · N0 · e-λt

ser vivo: (actividad) = λ · N0

Dividiendo ambas expresiones, se tiene: ¾ = e-λt = e-t Ln2 / T

Se simplifica esta expresión tomando logaritmos en ambos miembros:

-tLn2/ T = Ln ¾ t = (5730 · 0,2877) / 0,693 = 2378,8 años, que se puede aproximar a 2379 años.


Se ha visto así que este método es muy fácil de aplicar y requiere pocos datos iniciales y se ha demostrado que posee un gran desempeño para las cuestiones técnicas de los requerimientos arqueológicos.

sábado, 17 de septiembre de 2022

Energía Nuclear: del Átomo a lo Brobdingnagiano

 

    El “átomo pacífico” fue el eslogan que regía en Pripyat y Chernobyl antes del accidente nuclear de abril de 1986 (recuerdo aquella época). Pero no traigo aquí situaciones históricas referentes a la energía nuclear en tiempos de guerra o en tiempos más recientes, sino las posibles comparaciones de la energía liberada en las infames explosiones nucleares deliberadas, con su significado en términos de energía positiva limpia. En la entrada Energía Nuclear Sí , escrita hace unos cuantos años, ya expresé mi opinión sobre la energía nuclear usada de forma pacífica. Planteo así un pequeño ejercicio a modo de ejemplo, junto con otros semejantes para que se pueda asimilar el significado y la amplitud del uso de la energía nuclear en conflictos bélicos y post-bélicos, así como su equivalencia en términos de eficiencia temporal energética dando previamente unos datos importantes:

 La energía liberada en las explosiones nucleares se suele medir en Kilotones o Megatones: 1 Kiloton = 1 Kt = 1000 toneladas de explosivo TNT = 4,184 · 1012 Julios. Así, 1 Megaton = 1 Mt = 1000 Kt =1000000 toneladas de TNT = 4,184 · 1015 Julios. Si se tiene en cuenta que un camión-trailer de los que circulan por nuestras carreteras con verduras, hortalizas, y materiales de distinta índole, pesa unas 40 toneladas, 1 Kt = 25 camiones-trailer cargados de TNT.

    La energía de la primera bomba nuclear lanzada sobre Hiroshima en la Segunda Guerra Mundial, Little Boy, fue de 16 Kt (aproximadamente 400 camiones cargados de TNT). Se estima que este valor equivale a más de 500 veces la energía liberada en el accidente nuclear de Chernobyl, el segundo peor de la historia solo detrás del de Fukushima. La energía de la segunda bomba nuclear, la lanzada sobre Nagashaki, llamada Fat Man, fue de 21 Kt (unos 525 camiones de TNT). La mayor bomba nuclear detonada por el ser humano fue la infame Bomba del Zar soviética, explosionada en la Guerra Fría, como acto de poder, la cual liberó una energía de 50 Mt, es decir, 3125 veces más potente que Little Boy (aproximadamente 1250000 camiones cargados con TNT) , esto es, el equivalente a más de 1562500 veces la energía liberada en el accidente de Chernobyl. Pensar en estas cifras asusta.

    Después de estos fríos (y aterradores) datos, el ejercicio en sí, es el siguiente: una central eléctrica, cuya potencia es de 10 Megawatios, ¿cuánto tiempo puede estar funcionando con la energía de la bomba lanzada sobre Hiroshima? Una vez visto este resultado, realizaré el mismo procedimiento con otros datos como los enunciados más arriba.

La energía equivalente a Little Boy, es decir, el trabajo equivalente, es: W = 16 Kt · 4,184 · 1012 Julios / 1 Kt = 6,669 · 1013 Julios, y la potencia de la central es P = 10 Mw · 106 watt / 1 Mw = 107 watt.

Sabemos que la potencia es el trabajo ejecutado en una unidad de tiempo, en este caso,en segundos, esto es, P = W / t t = W / P = (6,669 · 1013 Julios) / 107 watt) = 6,669 · 106segundos = (1 año = 31536000 segundos = 3,153 · 107 segundos) = 2,115 · 10-1 años. Esto es, 0,2115 años.

Para Fat Man, el tiempo es de t = 2,78 · 10-1 años = 0,278 años

Para la Bomba del Zar, el tiempo es t = 2,092 · 1010 años

    Las comparaciones sobre el uso y abuso de la energía nuclear son evidentes con los datos que he querido exponer en esta entrada. Incluso así, la Bomba del Zar estaba prevista inicialmente para explosionar con una fuerza de 100 Mt, el doble de inconsciencia y el doble de maldad de algo ya de por sí, brobdingnagiano.